高等数学
等价无穷小
当x → 0,
用处:洛必达法则(在极限存在的情况下,分子分母都无穷小或无穷大,则分子分母同时分别求导),
大多可用taylor公式(taylor公式:f(x) = f(0) + f'(0)x + f''(0)/2!x^2 + ... + O(x^n))
空间解析几何
右手坐标系
证明三个向量共面:(a ⨯ b) · c = 0
平面方程表达式:
点法式:A(x-x0) + B(y-y0) + C(z-z0) = 0
一般式:Ax + By + Cz + D = 0
截距式: + + = 1
点面距离公式形式和点线一致
空间曲线切向量:xyz三个方向关于t(或者x)的导数,用于切线方程、切平面方程
空间曲面法向量:xyz三个方向的各自偏导数(梯度),用于切平面方程、法线方程
一些基础解题模板,不会不行,不懂就不懂,用就对了😥
求二元函数极值:两个偏函数等于零 求出驻点,分别在每个驻点上 ———— A = fxx(x0,y0),B = fxy(x0,y0),C = fyy(x0,y0),B2-AC < 0,则有极值,其中A>0则为极小值。
链式法则的熟练运用:换元,一些证明题,尤其是那个u = 根号下x^2+y^2 这玩意,它的偏导可以表示成 x/u
级数求和函数:二话不说,先求导或者积分,尤其注意exx = (求和)xn/n!,看到 n! 就要想泰勒公式
证明收敛:拆分成收敛,比较(直接放缩 或者 用比值与0比较)(p级数,1/n是发散),积分(积分有上界),比值(下一项和这一项比值 的极限小于1),根值(比1小发散)
一些个人解题思想,🫥🪽
第一,不要畏难,其实积分的很多题和高中导数的一些题型很相似,只是积分看着很大一坨,实际上先把问题拆分来看,积分只是其中的一环,其他的在高中的时候你就会了。
全增量、全微分
在微积分中,函数f在某一点的全微分(英语:total derivative)是指该函数在该点附近关于其自变量的最佳线性近似。与偏微分不同,全微分反映了函数关于其所有自变量的线性近似,而非单个自变量。
全微分可以看成是把单变量函数的微分推广到多变量函数上:单变量函数的全微分与其微分相同;而多变量函数在某点的全微分为一线性映射,通常可用矩阵或向量表示。
充分条件:
必要条件:对于二元函数,在该点可微,则在该点的全微分为:
链式法则
方向导数和梯度
方向导数:偏导数的推广,表示某一函数沿着某一方向的变化率。
梯度:其方向是在该点的最快增长方向,其量是在这个方向的增长率。
利用方向导数描述梯度:函数f在P点的梯度grad f是一个向量,它的方向是函数f变化最快的方向,它的模就是函数f在P点的方向导数最大值。
全导数,偏导数,方向导数
二重积分和三重积分
直角坐标系和极坐标系,dxdy=r drdθ,dxdydz=r^2 sinφ drdθdφ
第一类曲线积分:ds = 根号下( 两个关于t的函数的导数 的平方和) * dt
平面第二类曲线积分:参数法(转化为t的定积分):Pdx + Qdy = { P(t) * (关于t的x函数的导数) + Q(t) * (关于t的y函数的导数) } * dt
极坐标:ds = 根号下( 关于θ的r函数的平方 和 关于θ的r函数的导数的平方 之和) * dθ
格林公式:(L封闭、分段光滑、有向,P、Q具有一阶连续偏导)Pdx + Qdy = { (Q关于x的偏导) - (P关于y的偏导) } * dxdy
路径无关定理:不就是格林公式延展的特殊情况(不封闭,但是等式右边为0)吗,此时Pdx + Qdy 具有原函数u(x,y)
联系第一类曲线积分:Pdx + Qdy = { Pcosa + Qcosb } * ds 【cosa = (x关于t的函数导数 除以 根号下的各方向的关于t的函数导数的平方和)】
空间第二类曲线积分:参数法(就是变成三个而已),或者斯托克斯公式转化为曲面积分(封闭曲线 or 添加辅助线)
第一类曲面积分:投影法:F(x,y,z)dv = f(x,y,z(x,y)) * (根号下 1 + z关于x的偏导数的平方 + z关于y的偏导数的平方) * dxdydz
第二类曲面积分:投影法:F(x,y,z)dv = ( Pcosa + Qcosb +Rcosc ) dv = Pdydz + Qdxdz + Rdxdy
高斯公式:封闭 分片光滑 外侧 一阶连续偏导数,和格林公式的区别就是全是加法(都是没有的那个微分的偏导)
联系第一类曲面积分:前面有,转换投影(?)
散度与旋度(向量分析)
散度与通量,旋度与环量
---------------------------
散度:向量分析中的一个向量算子,将向量空间上的一个向量场(矢量场)对应到一个标量场上。三维空间的散度(且一阶连续偏导):
相关:四元数(散度研究起源),电场力
高斯散度定理(Gauss's Divergence Theorem):空间闭区域Ω是由分片光滑的闭曲面Σ所围起来的三维区域,则有

高斯公式散度表示:

---------------------------
旋度(curl或者记作rot):是一个向量算子,表示在三维欧几里德空间中的向量场的无穷小量旋转。在向量场每个点上,点的旋度表示为一个向量,称为旋度向量。这个向量的特性(长度和方向)刻画了在这个点上的旋转。
相关:四元数,光学场理论
斯托克斯定理:
其旋度表示:
重积分的应用
质心
转动惯量
引力
大学物理
第一:积分思想
第二:三维高度
第三:不懂装懂
第四:类比高中
级数
级数(英语:Series)是数学中一个有穷或无穷的序列之和,如果序列是有穷序列,其和称为有穷级数;反之,称为无穷级数(一般也简称为级数)。
柯西审敛准则(在一个完备空间中):对任意的
,总存在N0>0,使得任意的n>m>N0,
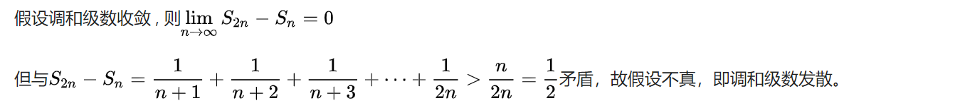
调和级数
调和级数(英语:Harmonic series):
比较审敛法:
积分判别法(integral test):
反证法:
相关级数:
交错调和级数:
;拓展:墨卡托级数(自然对数的泰勒级数形式)、π的莱布尼茨公式。
广义调和级数:
,(a!=0,b为实数),由比较审敛法可知广义调和级数全部发散。
p级数:
,p<=1发散,p>1收敛(过饱和调和级数)(其和也就是黎曼ζ函数在p的值)
随机调和级数:
,其中分子是恒等分布的独立随机变量,取值范围为+1和-1,取这两值的概率都是0.5。该级数收敛的概率是1。
泰勒级数
傅里叶级数
离散数学
命题
常用命题定律表达式:
重言式(永真)和矛盾式(永假):
集合论基础
两个集合相等 ⇔ 互为子集(证明题常用)
有限集合A有n个元素 ⇔ 幂集有2^n个元素
集合的运算:· 分配律成立
· A - B = A ⋂ ~B
· A - B = A - (A ⋂ B)
序偶和笛卡尔积:A ⨯ B = (序偶的前一项是A元素,后一项是B元素)
称Ix是X上的恒等关系{〈x,x〉| ∀x∈X}
二分图
自反,对称,传递,反自反(对角线全为零),反对称(不存在反向弧线,只有单向弧线)
复合关系和逆关系:R ∘ S = {〈x,z〉| 懂的都懂 };Rc = {〈y,x〉| 懂的都懂 }
关系的闭包运算
R自反,当且仅当r(R)=R
R对称,当且仅当s(R)=R
R传递,当且仅当t(R)=R
自反闭包、对称闭包、传递闭包:就是最小的满足自反、对称、传递的反包含的关系集合
等价和序
等价关系:一个在集合A上的关系R自反、对称、传递,(就证明用的,但其实也可以理解为字面意思,经典就是同余关系);
等价类:就是A上做划分,每个划分之间独立(分别自反、对称、传递闭包)。
偏序关系:就是反对称的一半等价关系,(比如 小于 这种关系,只有一半);
序偶〈A,≼〉称作偏序集,如果再盖住(一坨变一串),就可以画哈斯图了。
哈斯图
上界:对于上界里的元素都是(非严格,即可以是本身)大于所选集合的元素
上确界:最小上界(唯一)
函数
定义:domf = A,ranf ⊆ B,入射(单射,一对一)+满射(ranf = B)=双射;
逆函数:前提就是必须是双射(因为上面的规定),记作f c(或者 f -1),ran和dom反过来。
复合函数:g∘f(x)=g(f(x)),即先做f,再做g;
代数系统之基本
运算三性质:可交换、可结合、可分配、(可吸收、等幂)
运算*对于运算+是可分配的,即:a*(b+c)=a*b+a*c,可见———可分配就是把可分配的那个运算一分为二,中间保持不变
幺元(幺在左就叫左)、零元、逆元(x-1)
一个二元运算可结合,有幺元,每个元素有左逆元,那么左逆元也是右逆元,且逆元唯一
运算表:左在左,右在上
广群(封闭)————>半群(可结合广群)————>独异点(含幺半群)————>群(全有逆元独异点)
群————>阿贝尔群(可交换群)————>循环群(生成元a,a经过|G|次运算后仍等于a,且经过每一个元素,循环就是字面意思,其实只就见过加法类运算)
做抽象证明题吧,就是要多假设,要多设未知的,要多设反结论(反证法)
群
这是一个群论入门视频的链接
n阶循环群G:n=|G|
有限半群必存在等幂元:a*a=a(记住就行,难得推),如果这个a是幺元,就是含幺半群(独异点)
含幺半群里的逆元:a有逆元,那么(a-1)-1 = a(其实就是显而易见的a-1的逆元是a,左右互相都满足),不仅如此,a和b运算后的逆元 = b的逆元和a的逆元相运算,(这不就置换矩阵吗)
群:易知没有零元
klein四元群:唯一四元不循环群
集合的积和逆:就把里面的元素的积和逆,记作AB,A-1
陪集:单个元素在左就叫左陪集,aH,其中H是G的子集,意思就是a和H里的元素全算一边之后的集合
拉格朗日定理:推不了一点,就是aH其实是以a为代表元素的G上的一个等价关系,而且|G|=k|H|,很神奇吧,群的元素个数是子群的整数倍
由上面还可以得到一个神奇的东西:质数阶的群,它的子群只有 只包含幺元e的群 和 它本身 (有人给这玩意不知道为什么取了个名字叫 平凡子集)
还有:质数阶的群,因为只有非平凡子集,所以必定是循环群(证明:由a生成的循环群必定是群G的子群,G的子群就是本身嘛,难道是{e😆}?)
图的基本相关概念
点连通度:k(G)是为了产生一个不连通图需要删去的点的最少数
边连通图:同上
稠密图:
稀疏图:
平面图
欧拉公式:点-边+面=2,v-e+f=2
常识:一个平面图的每个面都由至少 3 个边围成,且每个边仅触及 2 个面。即2e>=3f
面次数之和:∑deg(f)=2e;∑deg(f)>=k*f[其中k是一个面至少由几条边围成]
完全图 K5和完全二分图 K3,3(汤玛森图)是最“小”的非平面图。
K5:
K3,3:
库拉托夫斯基定理(英语:Kuratowski's theorem):一个简单图是平面图当且仅当它并不包含一个是 K5 或 K3,3 的分割的子图。
华格纳定理(英语:Wagner's theorem):一个简单图是平面图当且仅当它不是 K5 或 K3,3 的次图。
其中,一个图的次图是将它做有限多次的取子图(删除部分顶点和边)和做边收缩(将某边缩成一个顶点)所得到的图。
对偶图:对偶图 G* 也是平版图,而且如果 G 是连通的,则 G** 与 G 在球面上是拓朴等价的。换句话说,他们是相同的平面映射。
一笔画问题(边或点)
哈密尔顿图(Hamiltonian graph):图中从一个节点出发,经过每个顶点恰好一次,最后回到起点的回路。
充分条件:每一对结点度数之和>=n-1。
尤拉图(Eulerian graph):图中每条边恰好出现一次。
充要条件:连通且所有结点度数为偶数。
树
二叉树:非空的二叉树,若树叶总数为 n0,分支度为2的总数为 n2,则 n0 = n2 + 1。[点=边+1(n=e+1),单枝点+2*双枝点=边(n1+2*n2=e)]
完全m叉树(树叶数t,分支点数i):(m-1)i=t-1
着色问题:Welsh-Powell算法——其实就是在进行贪心算法之前先对节点排了下序,具体过程如下:
(1) 将图 G 中的节点按度数的递减顺序进行排列(这种排列可能不是唯一的,因为有些节点的度数可能相同)
(2) 用第一种颜色对第一个节点着色,并按排列顺序对与前面着色节点不邻接的每一节点着上同样的颜色
(3) 用第二种颜色对尚未着色的节点重复步骤 (2),用第三种颜色继续这种做法,直到所有的节点全部着上色为止
最小生成树:
克鲁斯克尔算法(英语:Kruskal's algorithm)